close
Αρχική
  • ΑΣΦΑΛΙΣΤΙΚΕΣ ΕΙΔΗΣΕΙΣ
    • Ιδιωτική Ασφάλιση
    • Κοινωνική Ασφάλιση
    • Επαγγελματικά Ταμεία
  • ΕΠΙΚΑΙΡΟΤΗΤΑ
    • Υγεία
    • Αυτοκίνητο
    • Οικονομία
    • Τράπεζες
    • Πολιτική
    • Κοινωνία
    • Bancassurance
    • Διεθνή
    • Πολιτισμός
    • Τεχνολογία
    • Καταναλωτικά Νέα
    • Αθλητικά
    • Europanext
  • ΑΣΦΑΛΙΣΤΗΣ
    • Διαμεσολάβηση
    • Ασφαλιστικά Γραφεία
    • Πωλήσεις
    • Εκπαίδευση
    • Γυναίκα και Ασφάλιση
    • Αγγελίες
    • Λεξικό
  • ΠΡΟΪΟΝΤΑ
    • Σύνταξη
    • Υγεία
    • Περιουσία
    • Αυτοκίνητο
    • Bancassurance
    • Τραπεζικά
    • Λοιποί Κλάδοι
  • ΑΣΦΑΛΙΣΤΙΚΗ ΑΓΟΡA
    • Ασφαλιστικές Εταιρείες
    • Θεσμικοί Φορείς
      • Ενώσεις - Σύλλογοι - Οργανισμοί - Διεύθυνση Εποπτείας
      • Διεθνείς Οργανισμοί
    • Φορείς Υγείας
    • Νομοθεσία
    • Μελέτες / Στατιστικά
    • Οικονομικά Αποτελέσματα
    • Άλλοι φορείς
      • Επιμελητήρια
      • ΕΦΚΑ - Ασφαλιστικά Ταμεία
      • Εφορίες
      • ΟΤΑ
      • Υπουργεία
  • ΑΠΟΨΕΙΣ
    • Άρθρα
    • Αρθρογράφοι
    • Βήμα Αναγνωστών
    • Ψηφοφορίες
  • Αρχική
  • Ασφαλιστής
  • Εκπαίδευση

ΕΚΠΑΙΔΕΥΣΗ

Ο Harry Potter, οι ασφαλιστικοί διαμεσολαβητές και τα Unit Linked! 
Κώστας Παπαϊωάννου
Κώστας Παπαϊωάννου,
18/6/2021 - 08:08
  • facebook
  • twitter
  • linkedin

Ο Harry Potter, οι ασφαλιστικοί διαμεσολαβητές και τα Unit Linked! 

Κώστας Παπαϊωάννου, 18/6/2021
  • facebook
  • twitter
  • linkedin

Πώς μπορείτε να έχετε περισσότερους και ευχαριστημένους πελάτες στα Unit Linked, που μαζί με τα νοσοκομειακά, αποτελούν τη μερίδα του λέοντος στις πωλήσεις του κλάδου Ζωής;
Oι κίνδυνοι των προϊόντων Unit Linked και τα μέτρα διασποράς.

Σίγουρα οι γνώσεις που απαιτούν οι πιστοποιήσεις Γ' της ΤτΕ (στα επενδυτικά προϊόντα Unit Linked) δεν είναι το πιο εύκολο και ευχάριστο μέρος των γνωστικών υποχρεώσεων που πρέπει νομοθετικά και  εποπτικά να καλύψουν οι ασφαλιστικοί διαμεσολαβητές! Και βέβαια είναι γνώσεις που θα πρέπει να κατέχουν εκτός από τους νέους και οι παλαιότεροι διαμεσολαβητές, που δεν έχουν μετάσχει στο νέο σύστημα εξετάσεων πιστοποιήσεων της ΤτΕ, της τελευταίας τετραετίας, με τις ερωτήσεις τύπου multiple choice και τις ασκήσεις. 

Έχετε όμως αναρωτηθεί σχετικά με το πώς θα μπορούσατε να χρησιμοποιήσετε στην πράξη αυτές τις κρίσιμες γνώσεις των πιστοποιήσεων Γ', προκειμένου να εξυπηρετήσετε καλύτερα και πληρέστερα τους πελάτες σας και να γίνουν πραγματικά χρήσιμες και αποτελεσματικές αυτές οι γνώσεις για εσάς και αυτούς;

Ας πάρουμε για παράδειγμα τα μέτρα διασποράς, που σίγουρα σας προβλημάτισαν στην επίλυση των ασκήσεων των εξετάσεων πιστοποίησης Γ'. Τι είναι τα μέτρα διασποράς, ποια είναι αυτά και ποια είναι η σημασία τους σε μια επένδυση; 

Όταν παρακολουθείτε μια παρουσίαση ενός νέου unit linked προϊόντος από μια εταιρία, ή ακόμα και όταν εκπαιδεύεστε για ένα παλαιότερο προϊόν, σπάνια (έως ποτέ) οι εκπαιδευτές σας δεν αναφέρονται σε αυτά! Έχουν όμως μεγάλη σημασία, για να έχετε ευχαριστημένους πελάτες, οι οποίοι να σας εμπιστεύονται! 

Τα μέτρα διασποράς δίνουν απάντηση στο ερώτημα: πόσο συγκεντρωμένα γύρω από το μέτρο κεντρικής τάσης (π.χ. τον αριθμητικό μέσο όρο) είναι τα στοιχεία των πιθανών αποδόσεων ενός unit linked προϊόντος; Δηλαδή, πώς αναμένουμε να κινηθούν στο μέλλον οι αποδόσεις ενός unit linked προϊόντος και πόσο κοντά στον μέσο όρο των μέχρι τώρα αποδόσεών του θα βρίσκονται στο μέλλον; 

Δηλαδή τα μέτρα διασποράς δίνουν την αίσθηση της απόκλισης των δεδομένων από το επιθυμητό από τον πελάτη αποτέλεσμα και ταυτόχρονα προσδιορίζουν και τον κίνδυνο στην επένδυση που κάνει ο πελάτης. 
Τα μέτρα διασποράς είναι: 

  • το εύρος μεταβολής τιμών
  • η διακύμανση και
  • η τυπική απόκλιση 

Ως Εύρος Μεταβολής Τιμών ορίζεται η διαφορά ανάμεσα στη μέγιστη και την ελάχιστη απόδοση. Για παράδειγμα, τα τελευταία 5 χρόνια, σε ποιο επίπεδο έχουν κινηθεί οι αποδόσεις αυτού του προϊόντος, από πόσο, μέχρι πόσο; (R = Xmax – Xmin).

Το εύρος μεταβολής τιμών όμως δεν μας πληροφορεί για τη διασπορά των παρατηρήσεων ανάμεσα στα δύο ακραία σημεία, δηλαδή για τις αναλυτικές διαφοροποιήσεις των αποδόσεών του, ούτε και για την αρχική και τη σημερινή απόδοσή του.

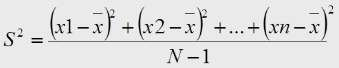
Τις αναλυτικές διαφοροποιήσεις των αποδόσεών του προϊόντος τις προσδιορίζει η Διακύμανση  του δείγματος, η οποία ορίζεται ως: 

Όπου S² είναι η διακύμανση του δείγματος, Χ1,2,3 κλπ. είναι οι τιμές του προϊόντος,  Χ‾ είναι ο αριθμητικός μέσος όρος και Ν είναι το σύνολο των παρατηρήσεων. 

Η διακύμανση μας δείχνει αναλυτικά τις κατ’ έτος αποδόσεις του προϊόντος και μας προσδιορίζει το συνολικό ποσοστό κέρδους ή ζημιάς αυτού του προϊόντος, στη συγκεκριμένη χρονική περίοδο που αναλύουμε. 

Στο ερώτημα «ποια θα είναι η πιθανή απόδοση αυτού του προϊόντος που μπορούμε να αναμένουμε;» απαντά η Τυπική Απόκλιση του δείγματος, η οποία αποτελεί και το μέτρο κινδύνου γι’ αυτό το προϊόν. Η Τυπική Απόκλιση ορίζεται ως:

NEWSLETTER

Λάβετε τα καλύτερα του Nextdeal στα εισερχόμενά σας, κάθε μέρα.

Όπου, S είναι η τυπική απόκλιση του δείγματος και Ν είναι το σύνολο των παρατηρήσεων, για τα υπόλοιπα ισχύουν ό,τι και παραπάνω.  

Ο τύπος αυτός μπορεί να διατυπωθεί και ως: , επειδή η τυπική απόκλιση του δείγματος, δεν είναι τίποτα άλλο παρά η τετραγωνική ρίζα της διακύμανσης! 

Όπως είπα και προηγουμένως, η τυπική απόκλιση αποτελεί το μέτρο κινδύνου μιας επένδυσης, επειδή μας δείχνει τον κίνδυνο που αναλαμβάνει ο πελάτης μας και μας υποδεικνύει αν αυτός ο κίνδυνος είναι συμβατός με το επενδυτικό προφίλ του πελάτη, που είμαστε υποχρεωμένοι (νομοθετικά) να προσδιορίζουμε! 

Περισσότερες πληροφορίες και δεδομένα που αφορούν τη λειτουργία των προϊόντων Unit Linked, θα μπορέσετε να βρείτε στο βιβλίο μου «Ασφαλιστικά προϊόντα συνδεδεμένα με επενδύσεις», που κυκλοφορεί μέσα στις αμέσως επόμενες μέρες από τις εκδόσεις Σπύρου.  

Συμπεράσματα

  1. Η δουλειά του ασφαλιστικού διαμεσολαβητή σήμερα, μετά από τις νέες νομοθετικές και εποπτικές υποχρεώσεις, δεν έχει σχεδόν καμία σχέση με τη δουλειά και τις υποχρεωτικές γνώσεις του ασφαλιστικού διαμεσολαβητή, ακόμα και πριν από 5-10 χρόνια. Φυσικά το ίδιο ισχύει και για τις γνώσεις που ο σημερινός ασφαλιστικός διαμεσολαβητής (παλιός και νέος) θα πρέπει να κατέχει και να χρησιμοποιεί, προκειμένου να προστατεύει τον πελάτη του και να μην έχουμε τα αποτελέσματα που είχαμε στο παρελθόν!
  2. Εφόσον κατέχουμε αυτές τις γνώσεις και έχουμε μάθει πώς να τις χρησιμοποιούμε σωστά και να τις χειριζόμαστε κατά τη διαδικασία της πώλησης, χωρίς να ζαλίζουμε τον πελάτη μας με τύπους και οικονομικά μαθηματικά, θα μπορέσουμε να λειτουργήσουμε σύμφωνα με το νόμο, να είμαστε περισσότερο αποτελεσματικοί στις πωλήσεις και το κυριότερο, να έχουμε περισσότερους ευχαριστημένους και πιστούς πελάτες!

Ο ασφαλιστής του παρόντος (του 2021), όπως έχουμε αρχίσει να καταλαβαίνουμε (...σχεδόν όλοι) πολύ καλά, θα πρέπει εκτός όλων των άλλων, να αρχίσει να «προπονείται» και στη σύγχρονη μαγεία της χρηματοοικονομικής επιστήμης, της ψηφιακής τεχνολογίας και ίσως να αρχίσει λίγο-λίγο να μοιάζει με τον Harry Potter των ασφαλίσεων, που θα ξέρει πως να χρησιμοποιεί το θαυματουργό ραβδάκι του και πως θα το χρησιμοποιεί για να παρουσιάσει σωστά τα κατάλληλα δεδομένα στους πελάτες του! 

Όπως λέει και ο Γ. Μούζος στο άρθρο του «Η Ανάλυση Δεδομένων φέρνει κοσμογονικές αλλαγές στις ασφαλιστικές εταιρείες!» (δείτε εδώ), η ανάλυση δεδομένων είναι το Άγιο Δισκοπότηρο, αλλά για να καταφέρετε να το κατακτήσετε, σίγουρα θα χρειαστείτε τα δεδομένα, που είναι το 70% της προσπάθειας. Αν το κατορθώσετε τότε θα αποκτήσετε σημαντικό πλεονέκτημα, έναντι του ανταγωνισμού!

Μήπως να αρχίσουμε να σκεφτόμαστε την υποστήριξή μας από έναν ασφαλιστικό εκπαιδευτικό φορέα τύπου Hogwarts;


Ποιος είναι και τι μπορεί να κάνει για εσάς ο Κώστας Παπαϊωάννου

Είμαι πιστοποιημένος εκπαιδευτής ασφαλιστικών γνωστικών αντικειμένων, με εξειδίκευση στα επενδυτικά προϊόντα κυμαινόμενης απόδοσης συνδεόμενα με ασφαλίσεις (Unit Linked & Single Premium) και στην ανάλυση αντικειμένων που αφορούν το management δικτύων πωλήσεων και στην ανάλυση των ασφαλιστικών προϊόντων, για να επιτευχθεί καλύτερη επικοινωνία με τους πελάτες. Έχω πολυετή εκπαιδευτική εμπειρία.

Συνεργάζομαι ως ειδικός επιστήμων, για ερευνητικούς και διδακτικούς σκοπούς με το Εθνικό και Καποδιστριακό Πανεπιστήμιο Αθηνών (ΕΚΠΑ) και διδάσκω στο ΜΒΑ του ΕΚΠΑ Τραπεζικής και Ασφαλιστικής Διοίκησης, καθώς και σε άλλα μεταπτυχιακά προγράμματα του ΕΚΠΑ. Επιπλέον συνεργάζομαι και διδάσκω στο ΕΙΑΣ και στο ΕΤΙ (Τραπεζικό Ινστιτούτο), καθώς και σε άλλους εκπαιδευτικούς φορείς.

Έχω κάνει σπουδές οικονομικής κατεύθυνσης και μεταπτυχιακές σπουδές στα ασφαλιστικά. Έχω εργαστεί σε διευθυντικές θέσεις εκπαίδευσης, σε μερικές από τις μεγαλύτερες ασφαλιστικές εταιρίες και τράπεζες που δραστηριοποιούνται στην Ελληνική αγορά. Έχω μεταφράσει, προσαρμόσει στα Ελληνικά δεδομένα και διδάξει τα προγράμματα Field Management Development Program (FMDP) της LIMRA-USA και International Certificate for Financial Advisors (ICFA) του CII-UK. Έχω διδάξει στην Ελλάδα και το εξωτερικό.

Μπορώ να εκπαιδεύσω ασφαλιστικούς διαμεσολαβητές (και υποψήφιους) όλων των βαθμίδων, προκειμένου να αποκτήσουν ή να εδραιώσουν τις απαιτούμενες από την εποπτεία (ΤτΕ) και από τη νέα νομοθεσία (IDD & Solvency II) υποχρεωτικές ασφαλιστικές, τεχνικές και χρηματοοικονομικές γνώσεις και τελικά να τους βοηθήσω να βελτιώσουν τη διατηρησιμότητα των πελατών τους ή/και την αποτελεσματικότητά τους στο κλείσιμο της πώλησης. 

Ακολουθήστε το Nextdeal.gr στο Google News .
  • TAGS:
  • εκπαίδευση
  • ασφαλιστές
  • ασφαλιστικοί διαμεσολαβητές
  • unit linked

ΔΕΙΤΕ ΠΕΡΙΣΣΟΤΕΡΑ ΕΔΩ...

  • Κοπή Βασιλόπιτας 2026 του University of Athens MBA!
    Κώστας Παπαϊωάννου, 24/02/2026 - 09:08

    Κοπή Βασιλόπιτας 2026 του University of Athens MBA!

  • Οι Έλληνες δεν αποταμιεύουν για τη σύνταξή τους, αν και θα το ήθελαν!
    Κώστας Παπαϊωάννου, 18/02/2026 - 08:56

    Οι Έλληνες δεν αποταμιεύουν για τη σύνταξή τους, αν και θα το ήθελαν!

  • Ο κλάδος διαφόρων χρηματικών απωλειών και η μέχρι στιγμής αύξηση της παραγωγής του!
    Κώστας Παπαϊωάννου, 16/02/2026 - 09:24

    Ο κλάδος διαφόρων χρηματικών απωλειών και η μέχρι στιγμής αύξηση της παραγωγής του!

  • Καλύπτεται η αυτοκτονία από τα συμβόλαια Ζωής;
    Κώστας Παπαϊωάννου, 13/02/2026 - 09:13

    Καλύπτεται η αυτοκτονία από τα συμβόλαια Ζωής;

  • Κατά 5-7% ετησίως αυξάνονται οι ασφαλισμένες ζημιές από φυσικές καταστροφές λόγω κλιματικής αλλαγής!

    Κατά 5-7% ετησίως αυξάνονται οι ασφαλισμένες ζημιές από φυσικές καταστροφές λόγω κλιματικής αλλαγής!

    Και εμείς έχουμε ασφαλισμένο μόνον το 19,4% των υπαρχουσών κατοικιών στην χώρα μας, με βάση τα στοιχεία της ΕΑΕΕ! Με τους...
    Κώστας Παπαϊωάννου, 11/02/2026 - 09:12
  • Δικλείδες ασφαλείας των πελατών στα συμβόλαια Ζωής - Οι τεχνικές προβλέπεις, η βέλτιστη εκτίμησή τους και το περιθώριο κινδύνου!

    Δικλείδες ασφαλείας των πελατών στα συμβόλαια Ζωής - Οι τεχνικές προβλέπεις, η βέλτιστη εκτίμησή τους και το περιθώριο κινδύνου!

    Τα νομοθετικά και εποπτικά εργαλεία των επενδύσεων των ασφαλιστικών επιχειρήσεων που δίνουν την σιγουριά και την βεβαιότητα στους πελάτες των...
    Κώστας Παπαϊωάννου, 09/02/2026 - 09:30
  • Ποιες σχέσεις και συνεργασίες επιτρέπονται μεταξύ ασφαλιστικών διαμεσολαβητών, ασφαλιστικών επιχειρήσεων και τραπεζών;

    Ποιες σχέσεις και συνεργασίες επιτρέπονται μεταξύ ασφαλιστικών διαμεσολαβητών, ασφαλιστικών επιχειρήσεων και τραπεζών;

    Ποιες είναι οι συναλλακτικές σχέσεις των διανομέων ασφαλιστικών προϊόντων μεταξύ τους και με τους πελάτες τους, όπως καθορίζονται από την...
    Κώστας Παπαϊωάννου, 06/02/2026 - 09:35
  • Η χρήση της σύγχρονης τεχνολογίας στην εκπαίδευση ασφαλιστών απαιτεί μεγάλη προσοχή!

    Η χρήση της σύγχρονης τεχνολογίας στην εκπαίδευση ασφαλιστών απαιτεί μεγάλη προσοχή!

    Στη σημερινή εποχή χρησιμοποιούνται κατά κόρον προγράμματα distance learning και e-learning στην εκπαίδευση των ασφαλιστικών πρακτόρων, αλλά και γενικότερα στην...
    Κώστας Παπαϊωάννου, 04/02/2026 - 09:01
  • Οι Ομαδικές Ασφαλίσεις στο προσκήνιο και λόγω του τραγικού δυστυχήματος στη Θεσσαλία!

    Οι Ομαδικές Ασφαλίσεις στο προσκήνιο και λόγω του τραγικού δυστυχήματος στη Θεσσαλία!

    Οι ομαδικές ασφαλίσεις είναι ένα πολύ δυνατό εργαλείο στα χέρια ενός έμπειρου και καλά εκπαιδευμένου ασφαλιστικού διαμεσολαβητή (ασφαλιστικού πράκτορα), το...
    Κώστας Παπαϊωάννου, 02/02/2026 - 09:00
  • Το τραγικό δυστύχημα στη Ρουμανία και η Αστική Ευθύνη κατασκευαστή, πωλητή, προμηθευτή!

    Το τραγικό δυστύχημα στη Ρουμανία και η Αστική Ευθύνη κατασκευαστή, πωλητή, προμηθευτή!

    Τι ρόλο παίζει σε αυτή την περίπτωση η ασφάλιση Αστικής Ευθύνης κατασκευαστή, πωλητή, προμηθευτή; Διαβάστε μερικά θέματα πρέπει πραγματικά να ενδιαφέρουν...
    Κώστας Παπαϊωάννου, 29/01/2026 - 08:50

Σελίδες

  • 1
  • 2
  • 3
  • 4
  • 5
  • 6
  • 7
  • 8
  • 9
  • …
  • ΕΠΟΜΕΝΗ
  • τελευταία »

ΤΕΛΕΥΤΑΙΑ ΝΕΑ

ΥΠΕΚΑ Ν. Κεραμέως: Νέο πρόγραμμα απασχόλησης 2.000 θέσεων εργασίας σε Αν. Μακεδονία και Θράκη
12:24 ΥΠΕΚΑ Ν. Κεραμέως: Νέο πρόγραμμα απασχόλησης 2.000 θέσεων εργασίας σε Αν. Μακεδονία και Θράκη
  • 12:20 Οι εξελίξεις στην Ουκρανία, οι αμερικανικές προσδοκίες και η κοινή ευρωπαϊκή γραμμή
  • 12:13 Η Allianz επιτυγχάνει ιστορικό ρεκόρ λειτουργικών κερδών ύψους 17,4 δισ. ευρώ - εξαιρετική εκκίνηση του νέου στρατηγικού κύκλου
  • 11:30 ΑΑΔΕ: Προσωρινή παύση λειτουργίας εφαρμογών Μητρώου (1/3 - 10/3) λόγω μετάβασης στη νέα ευρωπαϊκή ταξινόμηση ΚΑΔ
  • 11:07 Χρήστος Μεγάλου (Πειραιώς): Η ενσωμάτωση της Εθνικής Ασφαλιστικής διαφοροποιεί τις πηγές εσόδων και την εμπορική μας πρόταση
  • 11:00 Καταγγελία Κυρανάκη - Έκοψαν καλώδια της τηλεδιοίκησης τρένων: «Κάποιοι ήθελαν νέα Τέμπη»
  • 10:32 H EKT εκδίδει γνώμη σχετικά με τον διορισμό του μέλλοντα αντιπροέδρου της
  • 09:35 Visa - ΙΜΕ ΓΣΕΒΕΕ: Οι πληρωμές με κάρτα κερδίζουν έδαφος αφού σχεδόν 1 στις 2 ΜμΕ πραγματοποιούν τις επιχειρηματικές τους δαπάνες με αυτό τον τρόπο
  • 09:30 Στο Λονδίνο στις 9 Μαΐου η νέα εκδήλωση «REBRAIN GREECE»
  • 09:20 Audi RS 5: 639 ίπποι, plug-in υβριδική τεχνολογία και τετρακίνηση νέας γενιάς
  • 08:58 «Κλείδωσε» ο Στουρνάρας, η επιστροφή Πατέλη, νέος κύκλος ανόδου (;) των τραπεζών, η «μάχη» της Metlen στη Γαλλία, ο Αντώνης και το club του Καπνεργοστασίου και η άνθιση των εταιρικών ομολόγων
  • 08:55 Τράπεζες: Δικλείδα…ασφαλείας το bancassurance για τα κέρδη ρεκόρ του 2025 - Τι αναμένουν για το 2026
  • 08:50 Πλαγίως: Τώρα, αύριο και μεθαύριο
  • 08:38 Πώς ευθυγράμμιση και ζυγοστάθμιση «τρώνε» λάστιχα και αυξάνουν τις ζημιές
  • 15:38 Επίσκεψη Κυρ. Μητσοτάκη σε περιοχές που έχουν πληγεί από πλημμύρες στον Έβρο και στον Συνοριακό Σταθμό των Κήπων
  • 15:20 Skoda 4×4: Η πιο ολοκληρωμένη πρόταση τετρακίνησης της μάρκας μέχρι σήμερα
  • 13:52 Η IDE επιδεικνύει προηγμένες υβριδικές ενεργειακές δυνατότητες σε ασκήσεις του ΝΑΤΟ
  • 13:45 Κακοκαιρίες Adel & Byron: Σε €11,8 εκατ. συνολικά εκτιμώνται οι αποζημιώσεις των ασφαλιστικών επιχειρήσεων
  • 12:40 Audi Q3: Δυναμικό ξεκίνημα το 2026 στην Ελλάδα - Η κορυφαία premium επιλογή στην κατηγορία C-SUV
  • 12:25 Πρόγραμμα προετοιμασίας για τις εξετάσεις πιστοποίησης Ασφαλιστικού Πράκτορα από τον Όμιλο ΙΝΤΕΡΣΑΛΟΝΙΚΑ
ΔΕΙΤΕ ΟΛΕΣ ΤΙΣ ΕΙΔΗΣΕΙΣ

ΔΗΜΟΦΙΛΕΙΣ ΕΙΔΗΣΕΙΣ

  1. 20/2 Ασφαλιστική απάτη 2.0: Από τα στημένα ατυχήματα στη χειραγώγηση δεδομένων
  2. 20/2 Συντάξεις Μαρτίου 2026: Το απόγευμα οι πρώτες πληρωμές - Ποιοι θα πάνε στα ΑΤΜ μετά την Καθαρά Δευτέρα
  3. 20/2 Η Be.Brokers επιβραβεύει τους συνεργάτες της με ένα μοναδικό ταξίδι σε Las Vegas & Los Angeles
  4. 20/2 Η DIN AGENTS επεκτείνει τις δραστηριότητες της και ενώνει τις δυνάμεις της με την ΑΠΟΛΛΩΝ Α.Ε
  5. 20/2 isintaximou.gr: Η πρώτη ανεξάρτητη, αυτοματοποιημένη και ολοκληρωμένη εφαρμογή υπολογισμού κύριας και επικουρικής σύνταξης στην Ελλάδα
  6. 26/2 «Κλείδωσε» ο Στουρνάρας, η επιστροφή Πατέλη, νέος κύκλος ανόδου (;) των τραπεζών, η «μάχη» της Metlen στη Γαλλία, ο Αντώνης και το club του Καπνεργοστασίου και η άνθιση των εταιρικών ομολόγων
  7. 20/2 Καθαρή Δευτέρα στο Δίστομο με τους Κουδουναραίους

ΠΡΟΣΦΑΤΑ ΣΧΟΛΙΑ

Config Page Gr

Διεύθυνση: Φιλελλήνων 3, 10557
Σύνταγμα, Αθήνα
Τηλέφωνο: 210 3229394 Fax: 210 3257074 Email: [email protected]

NEWSLETTER

Λάβετε τα καλύτερα του Nextdeal στα εισερχόμενά σας, κάθε μέρα.

FOLLOW US

  • Facebook
  • Instagram
  • Linkedin
  • YouTube

QUICK LINKS

  • ΣΧΕΤΙΚΑ ΜΕ ΕΜΑΣ
  • ΕΚΔΟΣΕΙΣ
  • ΕΠΙΚΟΙΝΩΝΙΑ
  • ΔΙΑΦΗΜΙΣΗ

© 2018 Nextdeal.gr

  • Όροι Χρήσης
  • Πολιτική Απορρήτου
  • Newsletter
  • Like Us on
    Facebook

  • Follow Us on
    Twitter

  • Follow Us on
    Instagram

  • Follow Us on
    LinkedIn

  • Subscribe on
    YouYube